QUESTION IMAGE
Question
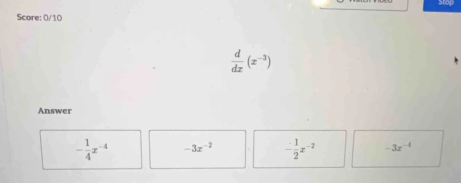
score: 0/10
$\frac{d}{dx}(x^{-3})$
answer
$-\frac{1}{4}x^{-4}$ $-3x^{-2}$ $-\frac{1}{2}x^{-2}$ $-3x^{-4}$
Step1: Apply power rule for derivatives
The power rule states $\frac{d}{dx}(x^n) = nx^{n-1}$. Here, $n=-3$.
$\frac{d}{dx}(x^{-3}) = -3x^{-3-1}$
Step2: Simplify the exponent
Calculate the new exponent value.
$-3x^{-3-1} = -3x^{-4}$
Snap & solve any problem in the app
Get step-by-step solutions on Sovi AI
Photo-based solutions with guided steps
Explore more problems and detailed explanations
$-3x^{-4}$