Sovi.AI - AI Math Tutor

Scan to solve math questions

QUESTION IMAGE

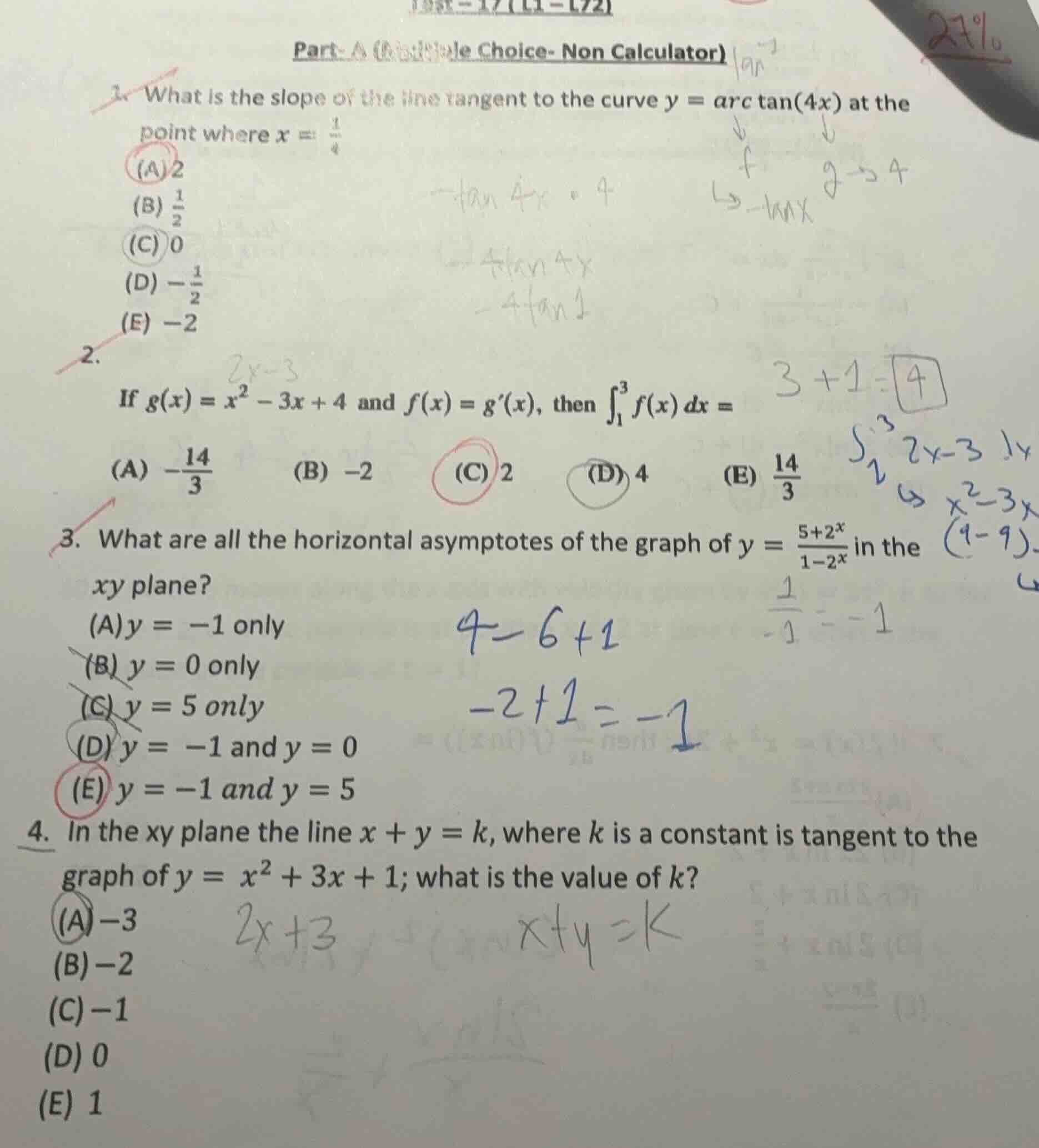
part - a (multiple choice - non calculator) 1. what is the slope of the…

Question

part - a (multiple choice - non calculator)

  1. what is the slope of the line tangent to the curve $y = \text{arc tan}(4x)$ at the point where $x = \frac{1}{4}$

(a) 2
(b) $\frac{1}{2}$
(c) 0
(d) $-\frac{1}{2}$
(e) $-2$
2.
if $g(x) = x^2 - 3x + 4$ and $f(x) = g(x)$, then $\int_{1}^{3} f(x) dx = $
(a) $-\frac{14}{3}$
(b) $-2$
(c) 2
(d) 4
(e) $\frac{14}{3}$

  1. what are all the horizontal asymptotes of the graph of $y = \frac{5 + 2^x}{1 - 2^x}$ in the $xy$ plane?

(a) $y = -1$ only
(b) $y = 0$ only
(c) $y = 5$ only
(d) $y = -1$ and $y = 0$
(e) $y = -1$ and $y = 5$

  1. in the $xy$ plane the line $x + y = k$, where $k$ is a constant is tangent to the graph of $y = x^2 + 3x + 1$; what is the value of $k$

(a) $-3$
(b) $-2$
(c) $-1$
(d) 0
(e) 1

Explanation:

Response
Question 1

Step1: Recall the derivative of arctan(u)

The derivative of \( y = \arctan(u) \) is \( y'=\frac{u'}{1 + u^{2}} \). Here, \( u = 4x \), so \( u'=4 \).
Thus, the derivative of \( y=\arctan(4x) \) is \( y'=\frac{4}{1+(4x)^{2}} \).

Step2: Substitute \( x = \frac{1}{4} \) into the derivative

Substitute \( x=\frac{1}{4} \) into \( y' \):
\( y'=\frac{4}{1+(4\times\frac{1}{4})^{2}}=\frac{4}{1 + 1^{2}}=\frac{4}{2}=2 \)? Wait, no, wait. Wait, \( 4x \) when \( x=\frac{1}{4} \) is \( 1 \), so \( (4x)^2 = 1 \), so denominator is \( 1 + 1 = 2 \), numerator is \( 4 \), so \( \frac{4}{2}=2 \)? But the options have A as 2, but wait, maybe I made a mistake. Wait, no, the original problem: wait, the curve is \( y=\arctan(4x) \), derivative is \( \frac{4}{1 + (4x)^2} \). At \( x=\frac{1}{4} \), \( 4x = 1 \), so derivative is \( \frac{4}{1 + 1}=2 \). But the options have A as 2. But wait, maybe the problem was \( y = \arctan(4x) \), but maybe I misread. Wait, no, the options: A is 2, B is 1/2, C is 0, D is -1/2, E is -2. Wait, but according to the calculation, it's 2. But let's check again. Wait, maybe the problem is \( y=\arctan(4x) \), derivative is \( \frac{4}{1 + 16x^2} \). At \( x = 1/4 \), \( 16x^2 = 16\times(1/16)=1 \), so denominator 2, numerator 4, so 2. So the slope is 2, which is option A. But wait, the marked answer is A? Wait, the red circle is on A. So maybe that's correct. But let's proceed.

Wait, maybe I made a mistake. Wait, no, the derivative of arctan(4x) is 4/(1 + 16x²). At x = 1/4, 16x² = 1, so 4/(2) = 2. So the answer is A.

Step1: Recall the Fundamental Theorem of Calculus

The Fundamental Theorem of Calculus states that \( \int_{a}^{b}f(x)dx=F(b)-F(a) \), where \( F'(x)=f(x) \). Here, \( f(x)=g'(x) \), so \( \int_{1}^{3}f(x)dx=g(3)-g(1) \).

Step2: Calculate \( g(3) \) and \( g(1) \)

Given \( g(x)=x^{2}-3x + 4 \).

  • Calculate \( g(3) \): \( g(3)=3^{2}-3\times3 + 4=9 - 9 + 4 = 4 \).
  • Calculate \( g(1) \): \( g(1)=1^{2}-3\times1 + 4=1 - 3 + 4 = 2 \).

Step3: Subtract to find the integral

\( \int_{1}^{3}f(x)dx=g(3)-g(1)=4 - 2 = 2 \). So the answer is C.

Step1: Recall the definition of horizontal asymptotes

Horizontal asymptotes are found by evaluating \( \lim_{x
ightarrow\infty}y \) and \( \lim_{x
ightarrow-\infty}y \).
Given \( y=\frac{5 + 2^{x}}{1 - 2^{x}} \).

Step2: Evaluate \( \lim_{x

ightarrow\infty}y \)
As \( x
ightarrow\infty \), \( 2^{x}
ightarrow\infty \). Divide numerator and denominator by \( 2^{x} \):
\( \lim_{x
ightarrow\infty}\frac{\frac{5}{2^{x}}+1}{\frac{1}{2^{x}}-1}=\frac{0 + 1}{0 - 1}=-1 \).

Step3: Evaluate \( \lim_{x

ightarrow-\infty}y \)
As \( x
ightarrow-\infty \), \( 2^{x}
ightarrow0 \) (since \( 2^{x}=\frac{1}{2^{|x|}} \)).
Substitute \( 2^{x}
ightarrow0 \) into \( y \):
\( \lim_{x
ightarrow-\infty}\frac{5 + 0}{1 - 0}=5 \).
So the horizontal asymptotes are \( y = -1 \) and \( y = 5 \), which is option E.

Answer:

A. 2

Question 2