Sovi.AI - AI Math Tutor

Scan to solve math questions

QUESTION IMAGE

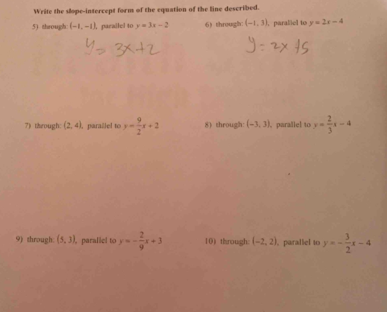
write the slope-intercept form of the equation of the line described. 5…

Question

write the slope-intercept form of the equation of the line described.

  1. through: $(-1,-1)$, parallel to $y=3x-2$
  2. through: $(-1,3)$, parallel to $y=2x-4$
  3. through: $(2,4)$, parallel to $y=\frac{9}{2}x+2$
  4. through: $(-3,3)$, parallel to $y=\frac{2}{3}x-4$
  5. through: $(5,3)$, parallel to $y=-\frac{2}{9}x+3$
  6. through: $(-2,2)$, parallel to $y=-\frac{3}{2}x-4$

Explanation:

Problem 5:

Step1: Identify parallel slope

Parallel lines have equal slopes. For $y=3x-2$, slope $m=3$.

Step2: Use point-slope form

Point: $(-1,-1)$, formula $y-y_1=m(x-x_1)$
$y-(-1)=3(x-(-1))$

Step3: Simplify to slope-intercept

$y+1=3x+3$
$y=3x+2$

---

Problem 6:

Step1: Identify parallel slope

For $y=2x-4$, slope $m=2$.

Step2: Use point-slope form

Point: $(-1,3)$
$y-3=2(x-(-1))$

Step3: Simplify to slope-intercept

$y-3=2x+2$
$y=2x+5$

---

Problem 7:

Step1: Identify parallel slope

For $y=\frac{9}{2}x+2$, slope $m=\frac{9}{2}$.

Step2: Use point-slope form

Point: $(2,4)$
$y-4=\frac{9}{2}(x-2)$

Step3: Simplify to slope-intercept

$y-4=\frac{9}{2}x-9$
$y=\frac{9}{2}x-5$

---

Problem 8:

Step1: Identify parallel slope

For $y=\frac{2}{3}x-4$, slope $m=\frac{2}{3}$.

Step2: Use point-slope form

Point: $(-3,3)$
$y-3=\frac{2}{3}(x-(-3))$

Step3: Simplify to slope-intercept

$y-3=\frac{2}{3}x+2$
$y=\frac{2}{3}x+5$

---

Problem 9:

Step1: Identify parallel slope

For $y=-\frac{2}{9}x+3$, slope $m=-\frac{2}{9}$.

Step2: Use point-slope form

Point: $(5,3)$
$y-3=-\frac{2}{9}(x-5)$

Step3: Simplify to slope-intercept

$y-3=-\frac{2}{9}x+\frac{10}{9}$
$y=-\frac{2}{9}x+\frac{37}{9}$

---

Problem 10:

Step1: Identify parallel slope

For $y=-\frac{3}{2}x-4$, slope $m=-\frac{3}{2}$.

Step2: Use point-slope form

Point: $(-2,2)$
$y-2=-\frac{3}{2}(x-(-2))$

Step3: Simplify to slope-intercept

$y-2=-\frac{3}{2}x-3$
$y=-\frac{3}{2}x-1$

Answer:

  1. $y=3x+2$
  2. $y=2x+5$
  3. $y=\frac{9}{2}x-5$
  4. $y=\frac{2}{3}x+5$
  5. $y=-\frac{2}{9}x+\frac{37}{9}$
  6. $y=-\frac{3}{2}x-1$