QUESTION IMAGE
Question
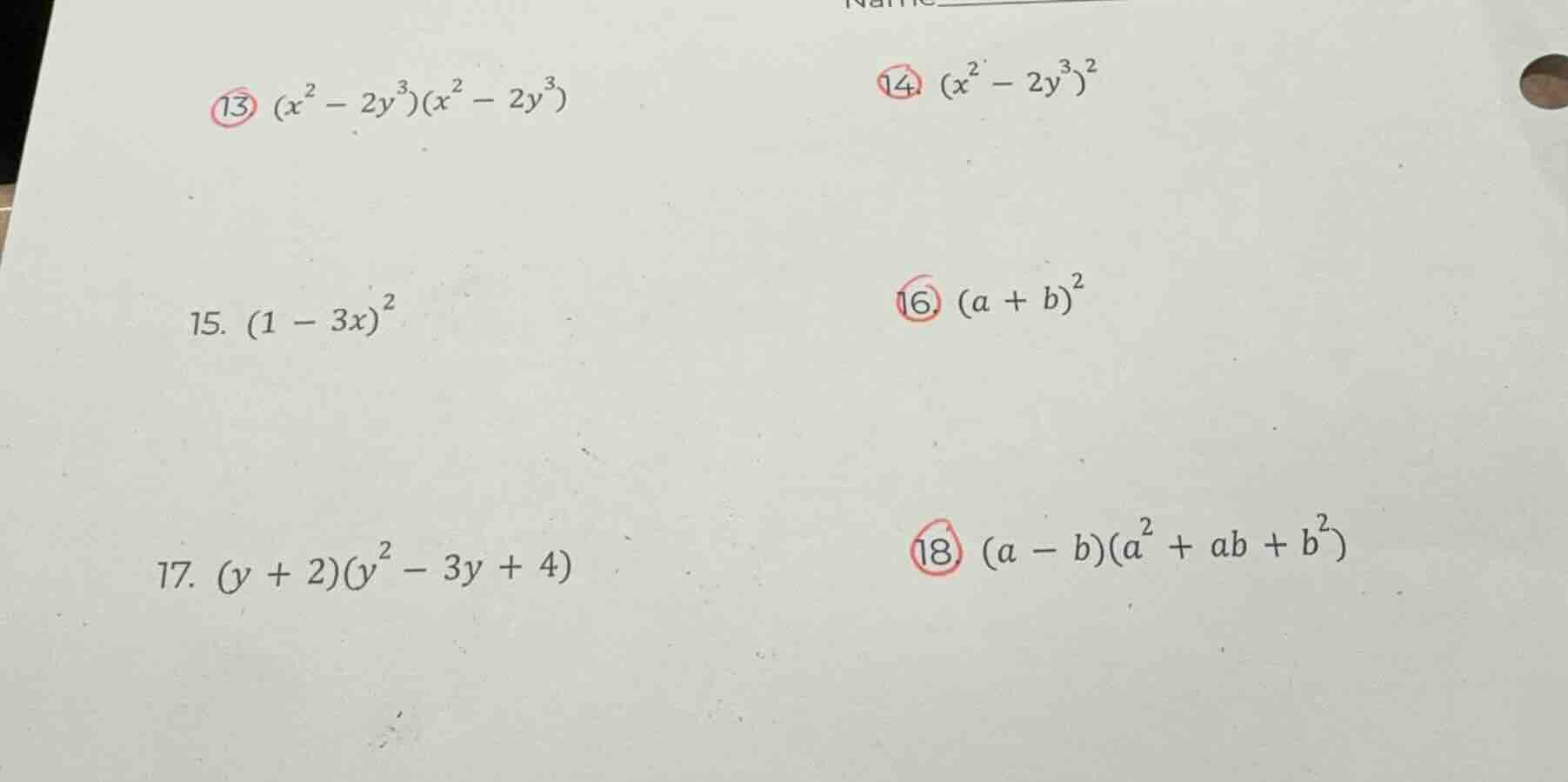
- $(x^{2}-2y^{3})(x^{2}-2y^{3})$
- $(x^{2}-2y^{3})^{2}$
- $(1 - 3x)^{2}$
- $(a + b)^{2}$
- $(y + 2)(y^{2}-3y + 4)$
- $(a - b)(a^{2}+ab + b^{2})$
Step1: Expand using square formula
For problem 13/14: $(x^2-2y^3)^2=(x^2)^2-2(x^2)(2y^3)+(2y^3)^2$
$=x^4 - 4x^2y^3 + 4y^6$
Step2: Expand $(1-3x)^2$
$(1-3x)^2=1^2-2(1)(3x)+(3x)^2$
$=1 - 6x + 9x^2$
Step3: Expand $(a+b)^2$
$(a+b)^2=a^2+2ab+b^2$
Step4: Distribute $(y+2)$ to trinomial
$(y+2)(y^2-3y+4)=y(y^2-3y+4)+2(y^2-3y+4)$
$=y^3-3y^2+4y+2y^2-6y+8$
$=y^3 - y^2 - 2y + 8$
Step5: Expand difference of cubes
$(a-b)(a^2+ab+b^2)=a(a^2+ab+b^2)-b(a^2+ab+b^2)$
$=a^3+a^2b+ab^2-a^2b-ab^2-b^3$
$=a^3 - b^3$
Snap & solve any problem in the app
Get step-by-step solutions on Sovi AI
Photo-based solutions with guided steps
Explore more problems and detailed explanations
- $x^4 - 4x^2y^3 + 4y^6$
- $x^4 - 4x^2y^3 + 4y^6$
- $9x^2 - 6x + 1$
- $a^2 + 2ab + b^2$
- $y^3 - y^2 - 2y + 8$
- $a^3 - b^3$