Sovi.AI - AI Math Tutor

Scan to solve math questions

QUESTION IMAGE

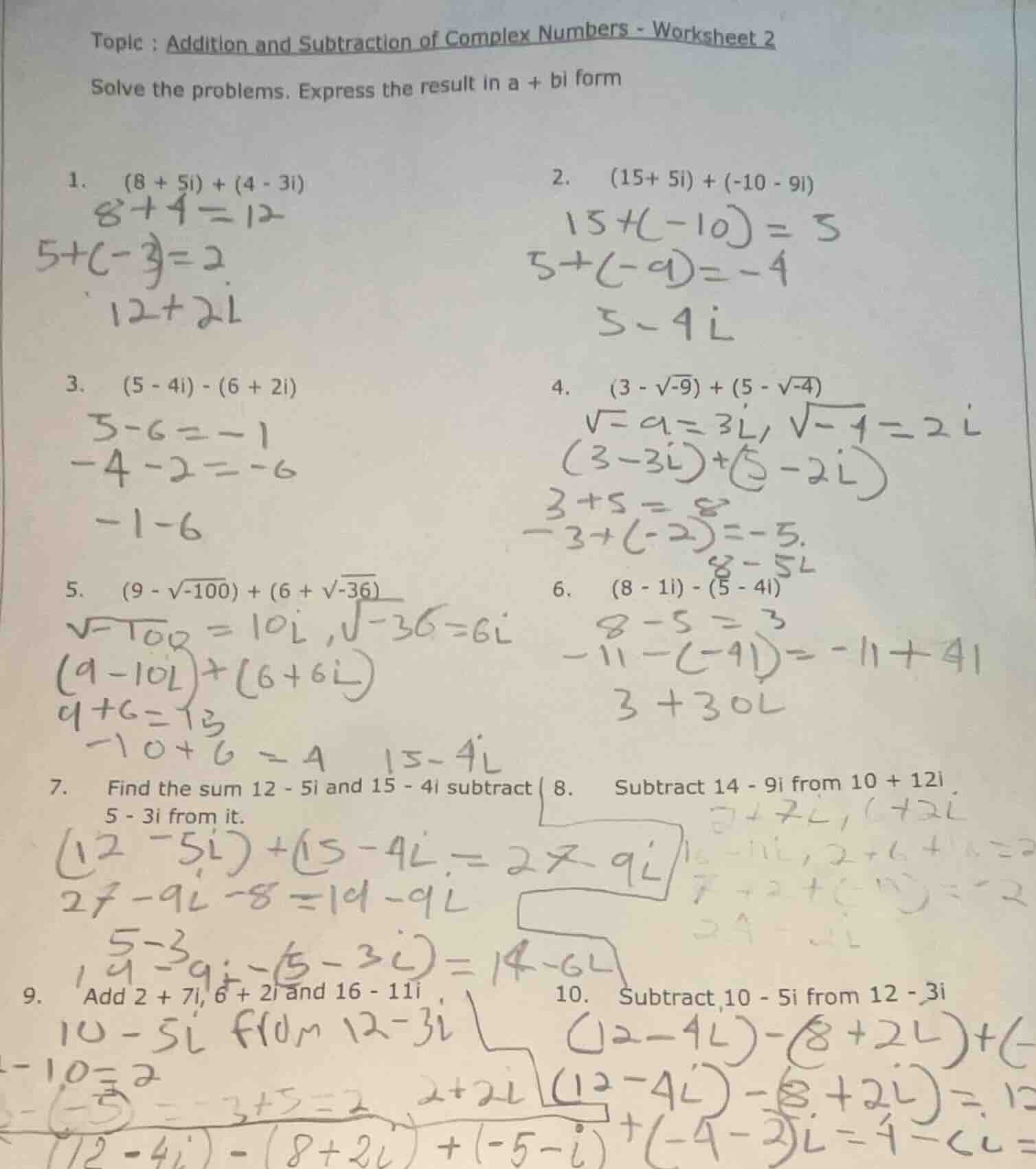
topic : addition and subtraction of complex numbers - worksheet 2 solve…

Question

topic : addition and subtraction of complex numbers - worksheet 2
solve the problems. express the result in a + bi form

  1. (8 + 5i) + (4 - 3i)
  2. (15+ 5i) + (-10 - 9i)
  3. (5 - 4i) - (6 + 2i)
  4. (3 - √-9) + (5 - √-4)
  5. (9 - √-100) + (6 + √-36)
  6. (8 - 1i) - (5 - 4i)
  7. find the sum 12 - 5i and 15 - 4i subtract 5 - 3i from it.
  8. subtract 14 - 9i from 10 + 12i
  9. add 2 + 7i, 6 + 2i and 16 - 11i
  10. subtract 10 - 5i from 12 - 3i

Explanation:

Response

Let's solve each problem step by step:

Problem 1: \((8 + 5i) + (4 - 3i)\)

Step 1: Add the real parts

The real parts are \(8\) and \(4\). So, \(8 + 4 = 12\).

Step 2: Add the imaginary parts

The imaginary parts are \(5i\) and \(-3i\). So, \(5i - 3i = 2i\).

Step 3: Combine real and imaginary parts

The result is \(12 + 2i\).

Problem 2: \((15 + 5i) + (-10 - 9i)\)

Step 1: Add the real parts

The real parts are \(15\) and \(-10\). So, \(15 + (-10) = 5\).

Step 2: Add the imaginary parts

The imaginary parts are \(5i\) and \(-9i\). So, \(5i - 9i = -4i\).

Step 3: Combine real and imaginary parts

The result is \(5 - 4i\).

Problem 3: \((5 - 4i) - (6 + 2i)\)

Step 1: Subtract the real parts

The real parts are \(5\) and \(6\). So, \(5 - 6 = -1\).

Step 2: Subtract the imaginary parts

The imaginary parts are \(-4i\) and \(2i\). So, \(-4i - 2i = -6i\).

Step 3: Combine real and imaginary parts

The result is \(-1 - 6i\).

Problem 4: \((3 - \sqrt{-9}) + (5 - \sqrt{-4})\)

Step 1: Simplify the square roots of negative numbers

Recall that \(\sqrt{-a} = i\sqrt{a}\) for \(a > 0\). So, \(\sqrt{-9} = 3i\) and \(\sqrt{-4} = 2i\).
The expression becomes \((3 - 3i) + (5 - 2i)\).

Step 2: Add the real parts

The real parts are \(3\) and \(5\). So, \(3 + 5 = 8\).

Step 3: Add the imaginary parts

The imaginary parts are \(-3i\) and \(-2i\). So, \(-3i - 2i = -5i\).

Step 4: Combine real and imaginary parts

The result is \(8 - 5i\).

Problem 5: \((9 - \sqrt{-100}) + (6 + \sqrt{-36})\)

Step 1: Simplify the square roots of negative numbers

\(\sqrt{-100} = 10i\) and \(\sqrt{-36} = 6i\).
The expression becomes \((9 - 10i) + (6 + 6i)\).

Step 2: Add the real parts

The real parts are \(9\) and \(6\). So, \(9 + 6 = 15\).

Step 3: Add the imaginary parts

The imaginary parts are \(-10i\) and \(6i\). So, \(-10i + 6i = -4i\).

Step 4: Combine real and imaginary parts

The result is \(15 - 4i\).

Problem 6: \((8 - i) - (5 - 4i)\)

Step 1: Subtract the real parts

The real parts are \(8\) and \(5\). So, \(8 - 5 = 3\).

Step 2: Subtract the imaginary parts

The imaginary parts are \(-i\) and \(-4i\). So, \(-i - (-4i) = -i + 4i = 3i\).

Step 3: Combine real and imaginary parts

The result is \(3 + 3i\).

Problem 7: Find the sum of \(12 - 5i\) and \(15 - 4i\), then subtract \(5 - 3i\) from it.

Step 1: Find the sum of \(12 - 5i\) and \(15 - 4i\)

Add the real parts: \(12 + 15 = 27\).
Add the imaginary parts: \(-5i - 4i = -9i\).
So, the sum is \(27 - 9i\).

Step 2: Subtract \(5 - 3i\) from \(27 - 9i\)

Subtract the real parts: \(27 - 5 = 22\).
Subtract the imaginary parts: \(-9i - (-3i) = -9i + 3i = -6i\).

Step 3: Combine real and imaginary parts

The result is \(22 - 6i\).

Problem 8: Subtract \(14 - 9i\) from \(10 + 12i\)

Step 1: Subtract the real parts

The real parts are \(10\) and \(14\). So, \(10 - 14 = -4\).

Step 2: Subtract the imaginary parts

The imaginary parts are \(12i\) and \(-9i\). So, \(12i - (-9i) = 12i + 9i = 21i\).

Step 3: Combine real and imaginary parts

The result is \(-4 + 21i\).

Problem 9: Add \(2 + 7i\), \(6 + 2i\), and \(16 - 11i\)

Step 1: Add the real parts

The real parts are \(2\), \(6\), and \(16\). So, \(2 + 6 + 16 = 24\).

Step 2: Add the imaginary parts

The imaginary parts are \(7i\), \(2i\), and \(-11i\). So, \(7i + 2i - 11i = -2i\).

Step 3: Combine real and imaginary parts

The result is \(24 - 2i\).

Problem 10: Subtract \(10 - 5i\) from \(12 - 3i\)

Step 1: Subtract the real parts

The real parts are \(12\) and \(10\). So, \(12 - 10 = 2\).

Ste…

Answer:

Let's solve each problem step by step:

Problem 1: \((8 + 5i) + (4 - 3i)\)

Step 1: Add the real parts

The real parts are \(8\) and \(4\). So, \(8 + 4 = 12\).

Step 2: Add the imaginary parts

The imaginary parts are \(5i\) and \(-3i\). So, \(5i - 3i = 2i\).

Step 3: Combine real and imaginary parts

The result is \(12 + 2i\).

Problem 2: \((15 + 5i) + (-10 - 9i)\)

Step 1: Add the real parts

The real parts are \(15\) and \(-10\). So, \(15 + (-10) = 5\).

Step 2: Add the imaginary parts

The imaginary parts are \(5i\) and \(-9i\). So, \(5i - 9i = -4i\).

Step 3: Combine real and imaginary parts

The result is \(5 - 4i\).

Problem 3: \((5 - 4i) - (6 + 2i)\)

Step 1: Subtract the real parts

The real parts are \(5\) and \(6\). So, \(5 - 6 = -1\).

Step 2: Subtract the imaginary parts

The imaginary parts are \(-4i\) and \(2i\). So, \(-4i - 2i = -6i\).

Step 3: Combine real and imaginary parts

The result is \(-1 - 6i\).

Problem 4: \((3 - \sqrt{-9}) + (5 - \sqrt{-4})\)

Step 1: Simplify the square roots of negative numbers

Recall that \(\sqrt{-a} = i\sqrt{a}\) for \(a > 0\). So, \(\sqrt{-9} = 3i\) and \(\sqrt{-4} = 2i\).
The expression becomes \((3 - 3i) + (5 - 2i)\).

Step 2: Add the real parts

The real parts are \(3\) and \(5\). So, \(3 + 5 = 8\).

Step 3: Add the imaginary parts

The imaginary parts are \(-3i\) and \(-2i\). So, \(-3i - 2i = -5i\).

Step 4: Combine real and imaginary parts

The result is \(8 - 5i\).

Problem 5: \((9 - \sqrt{-100}) + (6 + \sqrt{-36})\)

Step 1: Simplify the square roots of negative numbers

\(\sqrt{-100} = 10i\) and \(\sqrt{-36} = 6i\).
The expression becomes \((9 - 10i) + (6 + 6i)\).

Step 2: Add the real parts

The real parts are \(9\) and \(6\). So, \(9 + 6 = 15\).

Step 3: Add the imaginary parts

The imaginary parts are \(-10i\) and \(6i\). So, \(-10i + 6i = -4i\).

Step 4: Combine real and imaginary parts

The result is \(15 - 4i\).

Problem 6: \((8 - i) - (5 - 4i)\)

Step 1: Subtract the real parts

The real parts are \(8\) and \(5\). So, \(8 - 5 = 3\).

Step 2: Subtract the imaginary parts

The imaginary parts are \(-i\) and \(-4i\). So, \(-i - (-4i) = -i + 4i = 3i\).

Step 3: Combine real and imaginary parts

The result is \(3 + 3i\).

Problem 7: Find the sum of \(12 - 5i\) and \(15 - 4i\), then subtract \(5 - 3i\) from it.

Step 1: Find the sum of \(12 - 5i\) and \(15 - 4i\)

Add the real parts: \(12 + 15 = 27\).
Add the imaginary parts: \(-5i - 4i = -9i\).
So, the sum is \(27 - 9i\).

Step 2: Subtract \(5 - 3i\) from \(27 - 9i\)

Subtract the real parts: \(27 - 5 = 22\).
Subtract the imaginary parts: \(-9i - (-3i) = -9i + 3i = -6i\).

Step 3: Combine real and imaginary parts

The result is \(22 - 6i\).

Problem 8: Subtract \(14 - 9i\) from \(10 + 12i\)

Step 1: Subtract the real parts

The real parts are \(10\) and \(14\). So, \(10 - 14 = -4\).

Step 2: Subtract the imaginary parts

The imaginary parts are \(12i\) and \(-9i\). So, \(12i - (-9i) = 12i + 9i = 21i\).

Step 3: Combine real and imaginary parts

The result is \(-4 + 21i\).

Problem 9: Add \(2 + 7i\), \(6 + 2i\), and \(16 - 11i\)

Step 1: Add the real parts

The real parts are \(2\), \(6\), and \(16\). So, \(2 + 6 + 16 = 24\).

Step 2: Add the imaginary parts

The imaginary parts are \(7i\), \(2i\), and \(-11i\). So, \(7i + 2i - 11i = -2i\).

Step 3: Combine real and imaginary parts

The result is \(24 - 2i\).

Problem 10: Subtract \(10 - 5i\) from \(12 - 3i\)

Step 1: Subtract the real parts

The real parts are \(12\) and \(10\). So, \(12 - 10 = 2\).

Step 2: Subtract the imaginary parts

The imaginary parts are \(-3i\) and \(-5i\). So, \(-3i - (-5i) = -3i + 5i = 2i\).

Step 3: Combine real and imaginary parts

The result is \(2 + 2i\).

Final Answers:
  1. \(\boldsymbol{12 + 2i}\)
  2. \(\boldsymbol{5 - 4i}\)
  3. \(\boldsymbol{-1 - 6i}\)
  4. \(\boldsymbol{8 - 5i}\)
  5. \(\boldsymbol{15 - 4i}\)
  6. \(\boldsymbol{3 + 3i}\)
  7. \(\boldsymbol{22 - 6i}\)
  8. \(\boldsymbol{-4 + 21i}\)
  9. \(\boldsymbol{24 - 2i}\)
  10. \(\boldsymbol{2 + 2i}\)