Sovi.AI - AI Math Tutor

Scan to solve math questions

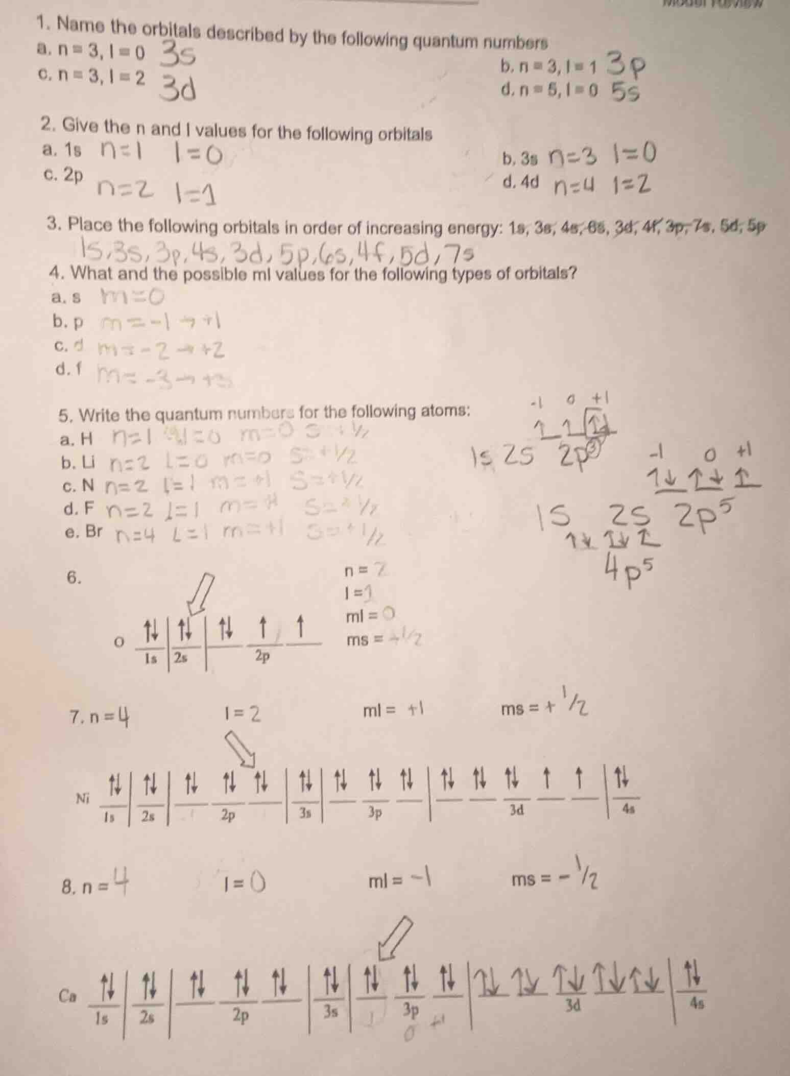
QUESTION IMAGE

1. name the orbitals described by the following quantum numbersa. $n=3,…

Question

  1. name the orbitals described by the following quantum numbersa. $n=3, l=0$b. $n=3, l=1$c. $n=3, l=2$d. $n=5, l=0$2. give the n and l values for the following orbitalsa. 1sb. 3sc. 2pd. 4d3. place the following orbitals in order of increasing energy: 1s, 3s, 4s, 6s, 3d, 4f, 3p, 7s, 5d, 5p4. what are the possible ml values for the following types of orbitals?a. sb. pc. dd. f5. write the quantum numbers for the following atoms:a. hb. lic. nd. fe. br6. (for oxygen orbital diagram) $n=2$, $l=1$, $ml=0$, $ms=+\frac{1}{2}$7. $n=4$, $l=2$, $ml=+1$, $ms=+\frac{1}{2}$ (for nickel orbital diagram)8. $n=4$, $l=0$, $ml=-1$, $ms=-\frac{1}{2}$ (for calcium orbital diagram)

Explanation:

Step1: Verify orbital-quantum number matches

Recall: $l=0$ = s, $l=1$ = p, $l=2$ = d, $l=3$ = f

Q1:

a. $n=3, l=0$ → $3s$
b. $n=3, l=1$ → $3p$
c. $n=3, l=2$ → $3d$
d. $n=5, l=0$ → $5s$

Q2:

a. $1s$ → $n=1, l=0$
b. $3s$ → $n=3, l=0$
c. $2p$ → $n=2, l=1$
d. $4d$ → $n=4, l=2$

Step2: Apply Aufbau principle for energy order

Orbital energy follows $1s < 2s < 2p < 3s < 3p < 4s < 3d < 4p < 5s < 4d < 5p < 6s < 4f < 5d < 6p < 7s$

Q3:

Sort given orbitals: $1s, 3s, 3p, 4s, 3d, 5p, 6s, 4f, 5d, 7s$

Step3: List $m_l$ ranges

$m_l$ spans $-l$ to $+l$ (integer values)

Q4:

a. s ($l=0$): $m_l=0$
b. p ($l=1$): $m_l=-1, 0, +1$
c. d ($l=2$): $m_l=-2, -1, 0, +1, +2$
d. f ($l=3$): $m_l=-3, -2, -1, 0, +1, +2, +3$

Step4: Assign valid quantum numbers

Use electron configuration, $n$ = shell, $l$ matches orbital, $m_l$ in range, $m_s=\pm\frac{1}{2}$

Q5:

a. H ($1s^1$): $n=1, l=0, m_l=0, m_s=+\frac{1}{2}$
b. Li ($[He]2s^1$): $n=2, l=0, m_l=0, m_s=+\frac{1}{2}$
c. N ($[He]2s^22p^3$): $n=2, l=1, m_l=+1, m_s=+\frac{1}{2}$
d. F ($[He]2s^22p^5$): $n=2, l=1, m_l=+1, m_s=-\frac{1}{2}$
e. Br ($[Ar]4s^23d^{10}4p^5$): $n=4, l=1, m_l=+1, m_s=-\frac{1}{2}$

Step5: Locate electron with given quantum numbers

Match $n,l,m_l,m_s$ to orbital/electron

Q6 (O, $1s^22s^22p^4$):

$n=2, l=1, m_l=0, m_s=+\frac{1}{2}$ → Points to the single up-spin electron in the $2p$ orbital with $m_l=0$

Q7 (Ni, $[Ar]4s^23d^8$):

$n=4, l=2, m_l=+1, m_s=+\frac{1}{2}$ → Points to the up-spin electron in the $3d$ orbital with $m_l=+1$

Q8 (Ca, $[Ar]4s^2$):

$n=4, l=0, m_l=-1, m_s=-\frac{1}{2}$ → Correction: For $l=0$, $m_l$ can only be 0. The valid electron is the down-spin electron in $4s$ ($n=4, l=0, m_l=0, m_s=-\frac{1}{2}$), matching the down arrow in $4s$

Answer:

1.
a. $3s$
b. $3p$
c. $3d$
d. $5s$
2.
a. $n=1, l=0$
b. $n=3, l=0$
c. $n=2, l=1$
d. $n=4, l=2$

  1. $1s < 3s < 3p < 4s < 3d < 5p < 6s < 4f < 5d < 7s$

4.
a. $m_l = 0$
b. $m_l = -1, 0, +1$
c. $m_l = -2, -1, 0, +1, +2$
d. $m_l = -3, -2, -1, 0, +1, +2, +3$
5.
a. $n=1, l=0, m_l=0, m_s=+\frac{1}{2}$
b. $n=2, l=0, m_l=0, m_s=+\frac{1}{2}$
c. $n=2, l=1, m_l=+1, m_s=+\frac{1}{2}$
d. $n=2, l=1, m_l=+1, m_s=-\frac{1}{2}$
e. $n=4, l=1, m_l=+1, m_s=-\frac{1}{2}$

  1. The arrow points to the up-spin electron in the $2p$ ($m_l=0$) orbital of oxygen.
  2. The arrow points to the up-spin electron in the $3d$ ($m_l=+1$) orbital of nickel.
  3. The arrow points to the down-spin electron in the $4s$ ($m_l=0$) orbital of calcium (corrected $m_l$ to valid value for $l=0$).