QUESTION IMAGE
Question
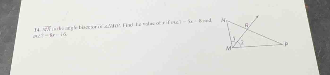
- $overrightarrow{mr}$ is the angle bisector of $angle nmp$. find the value of $x$ if $mangle1 = 5x + 8$ and $mangle2 = 8x - 16$.
Step1: Set angles equal (angle bisector)
$5x + 8 = 8x - 16$
Step2: Rearrange to isolate x terms
$8 + 16 = 8x - 5x$
Step3: Simplify and solve for x
$24 = 3x \implies x = \frac{24}{3}$
Snap & solve any problem in the app
Get step-by-step solutions on Sovi AI
Photo-based solutions with guided steps
Explore more problems and detailed explanations
$x = 8$