QUESTION IMAGE
Question
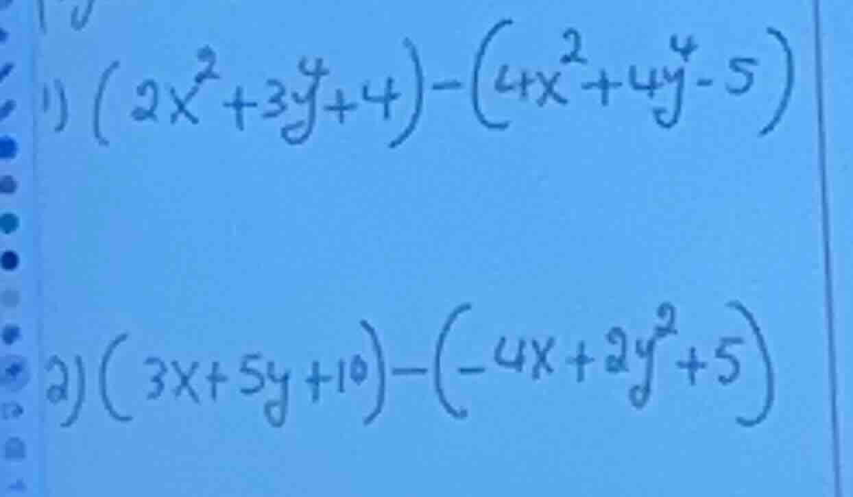
- $(2x^2 + 3y^2 + 4) - (4x^2 + 4y^2 - 5)$
- $(3x + 5y + 10) - (-4x + 2y^2 + 5)$
Step1: Distribute the negative sign
$(2x^2 + 3y + 4) - 4x^2 - 4y + 5$
Step2: Combine like $x^2$ terms
$2x^2 - 4x^2 = -2x^2$
Step3: Combine like $y$ terms
$3y - 4y = -y$
Step4: Combine constant terms
$4 + 5 = 9$
Step5: Distribute the negative sign
$(3x + 5y + 10) + 4x - 2y^2 - 5$
Step6: Combine like $x$ terms
$3x + 4x = 7x$
Step7: Combine constant terms
$10 - 5 = 5$
Snap & solve any problem in the app
Get step-by-step solutions on Sovi AI
Photo-based solutions with guided steps
Explore more problems and detailed explanations
- $-2x^2 - y + 9$
- $7x + 5y - 2y^2 + 5$